Writing a good intro to a paper is challenging, for many reasons. I have a longer lecture about it here. In this post, I wanted to point out one reason which occurred to me only after many years and after giving the lecture. The Intro often contains a multi-step logical argument. Sometimes this is hard for the reader to follow because the argument has logical gaps. The thing is, even when there are no logical gaps, the reader might still find it difficult to follow, for the following reason.
In the writer’s head, an argument is usually represented as a directed acyclic graph. Each node is a statement and an edge from x to y means that x logically implies y. For example
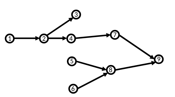
The rightmost node (node 9) is the final point the writer wants to make, e.g. the specific challenge their paper addresses. One mistake writers make is to include nodes that do not lie on the path to 9. In this example, that’s node 3. Node 3 might be a very interesting observation and the writer might be tempted to keep it. But that’s usually a mistake and they must trim 3 from their tree before putting it in the intro:

The next challenge is that an introduction is necessarily linear. Each sentence has exactly one successor and one predecessor. The introduction is not good at representing a tree structure of arguments. So the writer must linearize their graph and create what in Computer Science we call a “topological ordering”:

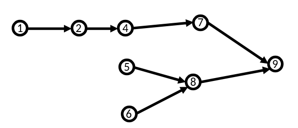
Each of those arcs that jump other nodes, e.g. from 4 to 7, require the writer to make explicit connections with previous parts of the text. This makes things more difficult for the reader, and the less of these jumping arcs, the better. For example, putting 7 right after 4 would have been a better linearization:

Now there are only two jumping arcs instead of three. The writer can further try to eliminate arcs from the graph completely by checking if they are absolutely necessary. For example, 5 and 6 might be two examples that support point 8. But are two examples really necessary? If not, then get rid of 5:

This is now much easier for the reader to follow. Happy writing!
UPDATE 11/10/21: I want to add a prequel to all this. What is often in the writer’s mind at the start is not even a graph but some kind of personal, cerebral, often pictorial representation. Getting that into a graph is its own challenge. If a writer tries to go from that straight into a linearized argument, all hell breaks lose.
